来自 政策咨询 2020-01-28 05:40 的文章
防控疫情!西安、渭南开通防控咨询及疫情举报
自1月24日(除夕)起,西安市辖区范围内的各级文化馆、图书馆暂时闭馆,旅游景区暂停运营,各类文艺演出活动暂停。
针对目前新型冠状病毒肺炎疫情,西安市为广大市民开通两部24小时咨询电话。
如需咨询请拨打:
029—87448052,029—89820896。
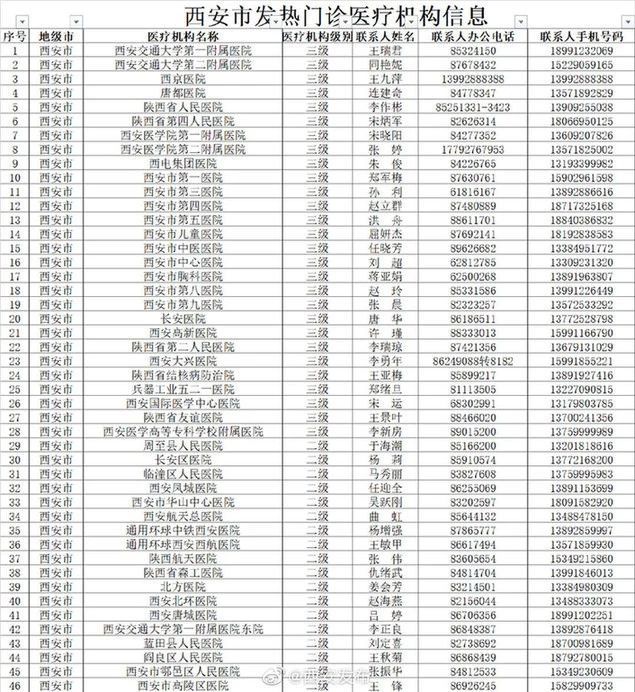
同时,西安市公布46家发热门诊医疗机构名单,具体信息如下:

渭南市公布防控咨询与举报电话:
疫情防控咨询电话:
渭南市疾控中心 0913-2181528
疫情举报电话:
渭南市卫健委 0913-2931800
同时倡议大家勤洗手、戴口罩、多通风、少聚餐、吃熟肉、远野味,减少聚集性活动,做好个人卫生防护。建议重点疫区来陕返陕或接触人员,主动居家隔离14天,如发热须戴口罩及时到已公布的各大医院发热门诊就诊。

作者:采集侠